|
|
Observation
and modeling of selected manganese lines in solar spectrum

|
| Figure 1. The
average over solar disk spectrum near the Mn I 543.2 nm spectral
line (a) and the Mn I 543.2 nm spectral line profiles for different
heliocentric angles (b)
|



|
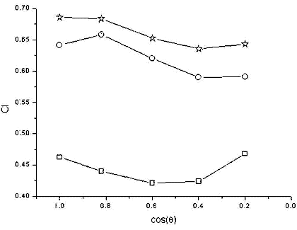
Figures 2. Center-to-limb variation of the observed
and calculated (circles - with hyperfine components, squares - without
hyperfine components) parameters of the Mn I 543.2 nm spectral line
|
|
| Telescopes Instrumentation |
 |
|
 |
|
 |
|
 |
|
 |
|
 |
 |
|
 |
|
 |
|
 |
|
 |
| Activities80-cm Telescope |
 |
|
 |
|
 |
|
 |
|
 |
|  |
|  |
| |
 |